英语词典化工词典

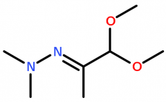
2-(1,1-dimethoxypropan-2-ylidene)-1,1-dimethylhydrazine

2-(1,1-dimethoxypropan-2-ylidene)-1,1-dimethylhydrazine


  • 中文别名:2-(1,1-dimethoxypropan-2-ylidene)-1,1-dimethylhydrazine
  • 中文释义:2-(1,1-dimethoxypropan-2-ylidene)-1,1-dimethylhydrazine
  • 英文别名:2-(1,1-dimethoxypropan-2-ylidene)-1,1-dimethylhydrazine 
  • CAS No.:62752-81-2
  • 分子式:C7H16N2O2
  • 分子量:160.21400
  • 精确分子量:160.12100
  • PSA:34.06000
  • InChI:The Key: JHGDUPGQZWWYML-VURMDHGXSA-N
  • 分子结构式:

热门化工词典词汇