英语词典化工词典

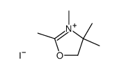
2,3,4,4-tetramethyl-2-oxazolinium iodide

2,3,4,4-tetramethyl-2-oxazolinium iodide


  • 中文别名:2,3,4,4-tetramethyl-2-oxazolinium iodide
  • 中文释义:2,3,4,4-tetramethyl-2-oxazolinium iodide
  • 英文别名:2,3,4,4-tetramethyl-2-oxazolinium iodide;
    iodide;
    2,3,4,4-tetramethyl-4,5-dihydro-oxazolium;
    2,3,4,4-tetramethyloxazolin-3-ium iodide 
  • CAS No.:70489-82-6
  • 分子式:C7H14INO
  • 分子量:255.09700
  • 精确分子量:255.01200
  • PSA:12.24000
  • InChI:The Key: YFUNTWFQASJPIY-UHFFFAOYSA-M
  • 分子结构式:

物化性质

密度:
N/A
熔点:
N/A
沸点:
N/A

安全信息

密度:
N/A
熔点:
N/A
沸点:
N/A

热门化工词典词汇