英语词典化工词典

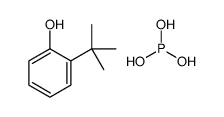
2-tert-butylphenol,phosphorous acid

2-tert-butylphenol,phosphorous acid


  • 中文别名:2-tert-butylphenol,phosphorous acid
  • 中文释义:2-tert-butylphenol,phosphorous acid
  • 英文别名:2-tert-butylphenol,phosphorous acid;
    Phenol, 2-(1,1-dimethylethyl)-, phosphite 
  • CAS No.:31502-36-0
  • 分子式:C10H17O4P
  • 分子量:232.21300
  • 精确分子量:232.08600
  • PSA:94.51000
  • InChI:The Key: SZPHBONKPMLMCA-UHFFFAOYSA-N
  • 分子结构式:

热门化工词典词汇