英语词典化工词典

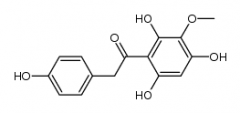
2-(4-hydroxyphenyl)-1-(2,4,6-trihydroxy-3-methoxyphenyl)ethanone

2-(4-hydroxyphenyl)-1-(2,4,6-trihydroxy-3-methoxyphenyl)ethanone


  • 中文别名:2-(4-hydroxyphenyl)-1-(2,4,6-trihydroxy-3-methoxyphenyl)ethanone
  • 中文释义:2-(4-hydroxyphenyl)-1-(2,4,6-trihydroxy-3-methoxyphenyl)ethanone
  • 英文别名:2-(4-hydroxyphenyl)-1-(2,4,6-trihydroxy-3-methoxyphenyl)ethanone 
  • CAS No.:27181-83-5
  • 分子式:C15H14O6
  • 分子量:290.26800
  • InChI:The Key: XESLVBOBZOCEFQ-UHFFFAOYSA-N
  • 分子结构式:

物化性质

密度:
N/A
熔点:
N/A
沸点:
N/A

安全信息

密度:
N/A
熔点:
N/A
沸点:
N/A

热门化工词典词汇