英语词典化工词典

2-(1,3-dioxolan-2-ylmethyl)-1,3-dioxolane

2-(1,3-dioxolan-2-ylmethyl)-1,3-dioxolane


  • 中文别名:苯磺酰胺并,2-[(4-氨基苯基)磺酰]-5-硝基-
  • 中文释义:苯磺酰胺并,2-[(4-氨基苯基)磺酰]-5-硝基-;2-(1,3-dioxolan-2-ylmethyl)-1,3-dioxolane
  • 英文别名:2-(1,3-dioxolan-2-ylmethyl)-1,3-dioxolane;
    EINECS 224-552-9 
  • CAS No.:4405-17-8
  • 分子式:C7H12O4
  • 分子量:160.16800
  • 精确分子量:160.07400
  • PSA:36.92000
  • InChI:The Key: DIMWHKNNIBAPFI-UHFFFAOYSA-N
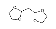
  • 分子结构式:

物化性质

密度:
1.184g/cm3
沸点:
229.1ºC at 760 mmHg
闪点:
110.6ºC
折射率:
1.456

安全信息

密度:
1.184g/cm3
沸点:
229.1ºC at 760 mmHg
闪点:
110.6ºC
折射率:
1.456

海关数据

中国海关编码:2932999099

概述:
2932999099. 其他仅含氧杂原子的杂环化合物. 增值税率:17.0%. 退税率:13.0%. 监管条件:无. 最惠国关税:6.5%. 普通关税:20.0%
申报要素:
品名, 成分含量, 用途
摘要/Summary:
2932999099. other heterocyclic compounds with oxygen hetero-atom(s) only. VAT:17.0%. Tax rebate rate:13.0%. . MFN tariff:6.5%. General tariff:20.0%

分子结构与计算化学数据

计算化学数据

1.疏水参数计算参考值(XlogP):-0.1

2.氢键供体数量:0

3.氢键受体数量:4

4.可旋转化学键数量:2

5.互变异构体数量:无

6.拓扑分子极性表面积:36.9

7.重原子数量:11

8.表面电荷:0

9.复杂度:102

10.同位素原子数量:0

11.确定原子立构中心数量:0

12.不确定原子立构中心数量:0

13.确定化学键立构中心数量:0

14.不确定化学键立构中心数量:0

15.共价键单元数量:1

热门化工词典词汇