英语词典化工词典

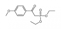
2-diethoxyphosphoryl-1-(4-methoxyphenyl)ethanone

2-diethoxyphosphoryl-1-(4-methoxyphenyl)ethanone


  • 中文别名:2-diethoxyphosphoryl-1-(4-methoxyphenyl)ethanone
  • 中文释义:2-diethoxyphosphoryl-1-(4-methoxyphenyl)ethanone
  • 英文别名:2-diethoxyphosphoryl-1-(4-methoxyphenyl)ethanone;
    4-Methoxy-phenacylphosphonsaeure-diaethylester 
  • CAS No.:18276-85-2
  • 分子式:C13H19O5P
  • 分子量:286.26100
  • 精确分子量:286.09700
  • PSA:71.64000
  • InChI:The Key: MBRCOIWDKIVWTF-UHFFFAOYSA-N
  • 分子结构式:

热门化工词典词汇