英语词典化工词典

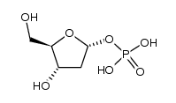
2-deoxy-α-D-ribofuranose 1-phosphate

2-deoxy-α-D-ribofuranose 1-phosphate


  • 中文别名:2-deoxy-α-D-ribofuranose 1-phosphate
  • 中文释义:2-deoxy-α-D-ribofuranose 1-phosphate
  • 英文别名:2-deoxy-α-D-ribofuranose 1-phosphate 
  • CAS No.:17039-17-7
  • 分子式:C5H11O7P
  • 分子量:214.11000
  • InChI:The Key: KBDKAJNTYKVSEK-VPENINKCSA-N
  • 分子结构式:

物化性质

密度:
N/A
熔点:
N/A
沸点:
N/A

安全信息

密度:
N/A
熔点:
N/A
沸点:
N/A

热门化工词典词汇