英语词典化工词典

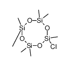
2-chloro-2,4,4,6,6,8,8-heptamethyl-1,3,5,7,2,4,6,8-tetraoxatetrasilocane

2-chloro-2,4,4,6,6,8,8-heptamethyl-1,3,5,7,2,4,6,8-tetraoxatetrasilocane


  • 中文别名:2-chloro-2,4,4,6,6,8,8-heptamethyl-1,3,5,7,2,4,6,8-tetraoxatetrasilocane
  • 中文释义:2-chloro-2,4,4,6,6,8,8-heptamethyl-1,3,5,7,2,4,6,8-tetraoxatetrasilocane
  • 英文别名:2-chloro-2,4,4,6,6,8,8-heptamethyl-1,3,5,7,2,4,6,8-tetraoxatetrasilocane;
    Chlor-heptamethyl-cyclotetrasiloxan;
    Cyclotetrasiloxane,chloroheptamethyl;
    2-chloro-2,4,4,6,6,8,8-heptamethylcyclotetrasiloxane;
    chloro-heptamethyl-cyclotetrasiloxane;
    Heptamethyl-chlor-cyclotetrasiloxan 
  • CAS No.:18297-88-6
  • 分子式:C7H21ClO4Si4
  • 分子量:317.03400
  • 精确分子量:316.02100
  • PSA:36.92000
  • InChI:The Key: ZKXOYZASYSBSJW-UHFFFAOYSA-N
  • 分子结构式:

热门化工词典词汇