英语词典化工词典

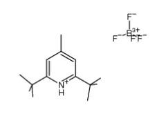
2,6-di-tert-butyl-4-methylpyridinium tetrafluoroborate

2,6-di-tert-butyl-4-methylpyridinium tetrafluoroborate


  • 中文别名:2,6-di-tert-butyl-4-methylpyridinium tetrafluoroborate
  • 中文释义:2,6-di-tert-butyl-4-methylpyridinium tetrafluoroborate
  • 英文别名:2,6-di-tert-butyl-4-methylpyridinium tetrafluoroborate 
  • CAS No.:160142-36-9
  • 分子式:C14H24BF4N
  • 分子量:293.15200
  • InChI:The Key: HSSZMZRPLJYZJW-UHFFFAOYSA-O
  • 分子结构式:

物化性质

密度:
N/A
熔点:
N/A
沸点:
N/A

安全信息

密度:
N/A
熔点:
N/A
沸点:
N/A

热门化工词典词汇