英语词典化工词典

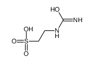
2-(carbamoylamino)ethanesulfonic acid

2-(carbamoylamino)ethanesulfonic acid


  • 中文别名:2-(carbamoylamino)ethanesulfonic acid
  • 中文释义:2-(carbamoylamino)ethanesulfonic acid
  • 英文别名:2-(carbamoylamino)ethanesulfonic acid;
    2-Ureido-aethansulfonsaeure;
    2-ureido-ethanesulfonic acid;
    N-Carbamoyl-taurin;
    Taurocarbamic acid;
    Carbamyltaurine 
  • CAS No.:87742-11-8
  • 分子式:C3H8N2O4S
  • 分子量:168.17200
  • 精确分子量:168.02000
  • PSA:118.86000
  • InChI:The Key: LEUTZZGRQWHOFW-UHFFFAOYSA-N
  • 分子结构式:

热门化工词典词汇