英语词典化工词典

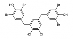
2-chloro-4,6-bis-(3,5-dibromo-4-hydroxy-benzyl)-phenol

2-chloro-4,6-bis-(3,5-dibromo-4-hydroxy-benzyl)-phenol


  • 中文别名:2-chloro-4,6-bis-(3,5-dibromo-4-hydroxy-benzyl)-phenol
  • 中文释义:2-chloro-4,6-bis-(3,5-dibromo-4-hydroxy-benzyl)-phenol
  • 英文别名:2-chloro-4,6-bis-(3,5-dibromo-4-hydroxy-benzyl)-phenol;
    2-Chlor-4,6-bis-(3,5-dibrom-4-hydroxy-benzyl)-phenol 
  • CAS No.:859782-24-4
  • 分子式:C20H13Br4ClO3
  • 分子量:656.38400
  • 精确分子量:651.72900
  • PSA:60.69000
  • InChI:The Key: TYEILDZHTMLUSD-UHFFFAOYSA-N
  • 分子结构式:

物化性质

密度:
N/A
熔点:
N/A
沸点:
N/A

安全信息

密度:
N/A
熔点:
N/A
沸点:
N/A

热门化工词典词汇