英语词典化工词典

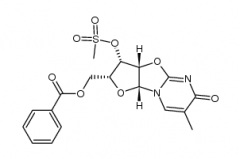
2,2'-anhydro-1-(5'-O-benzoyl-3'-O-methylsulfonyl-β-D-lyxofuranosyl)thymine

2,2'-anhydro-1-(5'-O-benzoyl-3'-O-methylsulfonyl-β-D-lyxofuranosyl)thymine


  • 中文别名:2,2\'-anhydro-1-(5\'-O-benzoyl-3\'-O-methylsulfonyl-β-D-lyxofuranosyl)thymine
  • 中文释义:2,2\'-anhydro-1-(5\'-O-benzoyl-3\'-O-methylsulfonyl-β-D-lyxofuranosyl)thymine
  • 英文别名:2,2'-anhydro-1-(5'-O-benzoyl-3'-O-methylsulfonyl-β-D-lyxofuranosyl)thymine 
  • CAS No.:190003-86-2
  • 分子式:C18H18N2O8S
  • 分子量:422.40900
  • 分子结构式:

物化性质

密度:
N/A
熔点:
N/A
沸点:
N/A

安全信息

密度:
N/A
熔点:
N/A
沸点:
N/A

热门化工词典词汇