英语词典化工词典

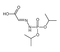
2-[di(propan-2-yloxy)phosphorylhydrazinylidene]acetic acid

2-[di(propan-2-yloxy)phosphorylhydrazinylidene]acetic acid


  • 中文别名:2-[di(propan-2-yloxy)phosphorylhydrazinylidene]acetic acid
  • 中文释义:2-[di(propan-2-yloxy)phosphorylhydrazinylidene]acetic acid
  • 英文别名:2-[di(propan-2-yloxy)phosphorylhydrazinylidene]acetic acid;
    Acetic acid,[[bis(1-methylethoxy)phosphinyl]hydrazono] 
  • CAS No.:140650-02-8
  • 分子式:C8H17N2O5P
  • 分子量:252.20500
  • 精确分子量:252.08800
  • PSA:107.03000
  • InChI:The Key: RKNQRLXYDNQGKB-UITAMQMPSA-N
  • 分子结构式:

热门化工词典词汇