英语词典化工词典

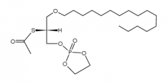
2-(1-Hexadecyl-2-thioacetyl-sn-glycero)-2-oxo-1,3,2-dioxaphospholane

2-(1-Hexadecyl-2-thioacetyl-sn-glycero)-2-oxo-1,3,2-dioxaphospholane


  • 中文别名:2-(1-Hexadecyl-2-thioacetyl-sn-glycero)-2-oxo-1,3,2-dioxaphospholane
  • 中文释义:2-(1-Hexadecyl-2-thioacetyl-sn-glycero)-2-oxo-1,3,2-dioxaphospholane
  • 英文别名:2-(1-Hexadecyl-2-thioacetyl-sn-glycero)-2-oxo-1,3,2-dioxaphospholane 
  • CAS No.:121358-37-0
  • 分子式:C23H45O6PS
  • 分子量:480.63900
  • 精确分子量:480.26700
  • PSA:106.17000
  • InChI:The Key: BAXSLVGFSUGEMM-HSZRJFAPSA-N
  • 分子结构式:

物化性质

密度:
N/A
熔点:
N/A
沸点:
N/A

安全信息

密度:
N/A
熔点:
N/A
沸点:
N/A

热门化工词典词汇