英语词典化工词典

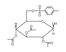
2,3,4-Tri-O-acetyl-6-O-p-toluenesulfonyl-β-D-glucopyranose

2,3,4-Tri-O-acetyl-6-O-p-toluenesulfonyl-β-D-glucopyranose


  • 中文别名:2,3,4-Tri-O-acetyl-6-O-p-toluenesulfonyl-β-D-glucopyranose
  • 中文释义:2,3,4-Tri-O-acetyl-6-O-p-toluenesulfonyl-β-D-glucopyranose
  • 英文别名:2,3,4-Tri-O-acetyl-6-O-p-toluenesulfonyl-β-D-glucopyranose;
    2,3,4-Tri-O-acetyl-6-O-tosyl-β-D-glukopyranose 
  • CAS No.:121363-55-1
  • 分子式:C19H24O11S
  • 分子量:460.45200
  • 精确分子量:460.10400
  • PSA:160.11000
  • InChI:The Key: OQZKYGWJKYFJMU-YHUKSXPISA-N
  • 分子结构式:

物化性质

密度:
N/A
熔点:
N/A
沸点:
N/A

安全信息

密度:
N/A
熔点:
N/A
沸点:
N/A

热门化工词典词汇