英语词典化工词典

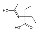
2-acetamido-2-ethylbutanoic acid

2-acetamido-2-ethylbutanoic acid


  • 中文别名:丁酸, 2-(乙酰基氨基)-2-乙基-
  • 中文释义:丁酸, 2-(乙酰基氨基)-2-乙基-;2-acetamido-2-ethylbutanoic acid
  • 英文别名:2-acetamido-2-ethylbutanoic acid;
    Acetamino-diaethyl-essigsaeure;
    Butanoic acid,2-(acetylamino)-2-ethyl;
    2-acetylamino-2-ethyl-butyric acid;
    2-Acetamino-2-aethyl-buttersaeure;
    2-Acetylamino-2-aethyl-buttersaeure 
  • CAS No.:139578-94-2
  • 分子式:C8H15NO3
  • 分子量:173.21000
  • 精确分子量:173.10500
  • PSA:69.89000
  • InChI:The Key: KEWRXJBFHLPAOL-UHFFFAOYSA-N
  • 分子结构式:

热门化工词典词汇