英语词典化工词典

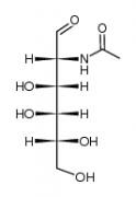
2-acetamido-2-deoxy-D-galactose

2-acetamido-2-deoxy-D-galactose


  • 中文别名:2-acetamido-2-deoxy-D-galactose
  • 中文释义:2-acetamido-2-deoxy-D-galactose
  • 英文别名:2-acetamido-2-deoxy-D-galactose;
    2-acetamido-2-deoxy-galactose;
    .GalNAc;
    .D-GalNAc;
    .N-acetylgalactosamine;
    .N-acetyl-D-galactosamine;
    .2-acetamido-2-deoxygalactose 
  • CAS No.:134-61-2
  • 分子式:C8H15NO6
  • 分子量:221.20800
  • 精确分子量:221.09000
  • PSA:127.09000
  • InChI:The Key: MBLBDJOUHNCFQT-OSMVPFSASA-N
  • 分子结构式:

热门化工词典词汇