英语词典化工词典

2-ethyl-2,4,5-trimethyl-1,3-dioxolane

2-ethyl-2,4,5-trimethyl-1,3-dioxolane


  • 中文别名:2-ethyl-2,4,5-trimethyl-1,3-dioxolane
  • 中文释义:2-ethyl-2,4,5-trimethyl-1,3-dioxolane
  • 英文别名:2-ethyl-2,4,5-trimethyl-1,3-dioxolane;
    2,4,5-trimethyl-2-ethyl-1,3-dioxolane;
    2-Aethyl-2,4,5-trimethyl-1.3-dioxolan;
    1,3-Dioxolane,2-ethyl-2,4,5-trimethyl 
  • CAS No.:4359-51-7
  • 分子式:C8H16O2
  • 分子量:144.21100
  • 精确分子量:144.11500
  • PSA:18.46000
  • InChI:The Key: ZRKDAOBWBAZESR-UHFFFAOYSA-N
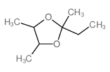
  • 分子结构式:

物化性质

密度:
0.864g/cm3
沸点:
147.5ºC at 760 mmHg
闪点:
42.3ºC
折射率:
1.399

安全信息

密度:
0.864g/cm3
沸点:
147.5ºC at 760 mmHg
闪点:
42.3ºC
折射率:
1.399

海关数据

中国海关编码:2932999099

概述:
2932999099. 其他仅含氧杂原子的杂环化合物. 增值税率:17.0%. 退税率:13.0%. 监管条件:无. 最惠国关税:6.5%. 普通关税:20.0%
申报要素:
品名, 成分含量, 用途
摘要/Summary:
2932999099. other heterocyclic compounds with oxygen hetero-atom(s) only. VAT:17.0%. Tax rebate rate:13.0%. . MFN tariff:6.5%. General tariff:20.0%

热门化工词典词汇