英语词典化工词典

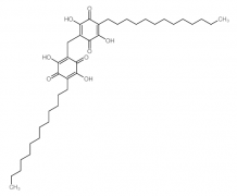
2-[(2,5-dihydroxy-3,6-dioxo-4-tridecylcyclohexa-1,4-dien-1-yl)methyl]-3,6-dihydroxy-5-tridecylcyclohexa-2,5-diene-1,4-dione

2-[(2,5-dihydroxy-3,6-dioxo-4-tridecylcyclohexa-1,4-dien-1-yl)methyl]-3,6-dihydroxy-5-tridecylcyclohexa-2,5-diene-1,4-dione


  • 中文别名:2-[(2,5-dihydroxy-3,6-dioxo-4-tridecylcyclohexa-1,4-dien-1-yl)methyl]-3,6-dihydroxy-5-tridecylcyclohexa-2,5-diene-1,4-dione
  • 中文释义:2-[(2,5-dihydroxy-3,6-dioxo-4-tridecylcyclohexa-1,4-dien-1-yl)methyl]-3,6-dihydroxy-5-tridecylcyclohexa-2,5-diene-1,4-dione
  • 英文别名:2-[(2,5-dihydroxy-3,6-dioxo-4-tridecylcyclohexa-1,4-dien-1-yl)methyl]-3,6-dihydroxy-5-tridecylcyclohexa-2,5-diene-1,4-dione;
    5,5'-Methylen-bis<3,6-dihydroxy-2-n-tridecyl-benzochinon-(1,4)>;
    Bis-(2,5-dihydroxy-4-tridecyl-3,6-benzochinon-1-yl)-methan;
    2,5-Cyclohexadiene-1,4-dione,2,2'-methylenebis(3,6-dihydroxy-5-tridecyl;
    ARDISIN;
    Bis-<2.5-dihydroxy-3.6-dioxo-4-tridecyl-3.6-dihydro-phenyl>-methan 
  • CAS No.:13917-35-6
  • 分子式:C39H60O8
  • 分子量:656.88900
  • 精确分子量:656.42900
  • PSA:149.20000
  • InChI:The Key: UJRBGYWAIIVDNE-UHFFFAOYSA-N
  • 分子结构式:

物化性质

密度:
1.14g/cm3
沸点:
756.8ºC at 760 mmHg
闪点:
425.4ºC
折射率:
1.551
蒸汽压:
1.95E-26mmHg at 25°C

安全信息

密度:
1.14g/cm3
沸点:
756.8ºC at 760 mmHg
闪点:
425.4ºC
折射率:
1.551
蒸汽压:
1.95E-26mmHg at 25°C

热门化工词典词汇