英语词典化工词典

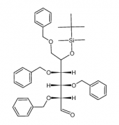
2,3,4,6-tetra-O-benzyl-5-O-(tert-butyldimethylsilyl)-L-idose

2,3,4,6-tetra-O-benzyl-5-O-(tert-butyldimethylsilyl)-L-idose


  • 中文别名:2,3,4,6-tetra-O-benzyl-5-O-(tert-butyldimethylsilyl)-L-idose
  • 中文释义:2,3,4,6-tetra-O-benzyl-5-O-(tert-butyldimethylsilyl)-L-idose
  • 英文别名:2,3,4,6-tetra-O-benzyl-5-O-(tert-butyldimethylsilyl)-L-idose 
  • CAS No.:78136-20-6
  • 分子式:C40H50O6Si
  • 分子量:654.90700
  • 精确分子量:654.33800
  • PSA:63.22000
  • InChI:The Key: YKTOQEIGQMOWBY-IZSXRKQISA-N
  • 分子结构式:

物化性质

密度:
N/A
熔点:
N/A
沸点:
N/A

安全信息

密度:
N/A
熔点:
N/A
沸点:
N/A

热门化工词典词汇