英语词典化工词典

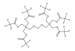
2,2,8,8-Tetrakis(trifluoracetoxymethyl)-4,6-dioxanonan-1,9-diylbis(trifluoracetat)

2,2,8,8-Tetrakis(trifluoracetoxymethyl)-4,6-dioxanonan-1,9-diylbis(trifluoracetat)


  • 中文别名:CAS号:75427-91-7
  • 中文释义:CAS号:75427-91-7
  • 英文别名:2,2,8,8-Tetrakis(trifluoracetoxymethyl)-4,6-dioxanonan-1,9-diylbis(trifluoracetat) 
  • CAS No.:75427-91-7
  • 分子式:C23H18F18O14
  • 分子量:860.35200
  • 精确分子量:860.04100
  • PSA:176.26000
  • InChI:The Key: HUJNGCFOXRLNEP-UHFFFAOYSA-N
  • 分子结构式:

热门化工词典词汇