英语词典化工词典

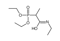
2-diethoxyphosphoryl-N-ethylpropanamide

2-diethoxyphosphoryl-N-ethylpropanamide


  • 中文别名:2-diethoxyphosphoryl-N-ethylpropanamide
  • 中文释义:2-diethoxyphosphoryl-N-ethylpropanamide
  • 英文别名:2-diethoxyphosphoryl-N-ethylpropanamide;
    Phosphonic acid,[2-(ethylamino)-1-methyl-2-oxoethyl]-,diethyl ester 
  • CAS No.:73473-50-4
  • 分子式:C9H20NO4P
  • 分子量:237.23300
  • 精确分子量:237.11300
  • PSA:77.93000
  • InChI:The Key: RSHJJALAHGKIFE-UHFFFAOYSA-N
  • 分子结构式:

热门化工词典词汇